公司电话:

400-003-1788

客服电话:

0543-2253688

网站首页 >> 行业资讯 >> 关于电缆导体“标称截面积”的解释与分析
详细内容

关于电缆导体“标称截面积”的解释与分析

目前,部分用户和检测机构在电缆标称截面积测量的理解上存在一些误区,将标称截面积理解为标准规定的截面积,采用几何法测量导体的实际横截面积并依此进行判定,导致部分符合产品标准要求的电线电缆在交货抽检时被判定不合格。例如用于电器电源线的普通聚氯乙烯软线60227 IEC 53(RVV) 300/500V 3X0.75产品,标称截面积为0.75 mm2,实测截面积为0.72 mm2,比标称横截面小了0.03 mm2,即使其导体电阻符合标称截面积为0.75 mm2的产品标准要求,仍被误判为不合格产品,最终在线缆及整机产品的销售和验收上,给企业和用户方均带来困扰和不良影响。为此,本文对电线电缆导体的标称截面积进行解释和说明,希望有助各方正确理解标称截面积,减少误解及误判,并科学准确地运用电阻法来考核导体截面积。


关于电线电缆导体的截面




在电线电缆产品生产、设计使用到检测检验全过程中,大家所关注的电线电缆导体截面有着多种的叫法和理解:标称截面积、设计截面积和实际截面积,那么它们究竟是什么关系?

电线电缆导体的标称截面积

所谓标称值是指产品标准中指定的量值并经常用于表格之中,标称值引申出的量值通常须在规定公差下通过测量进行检验。如果标准中没有给定某标称值的公差,那么此标称值就无需考核和测量。在GB/T3956-2008《电缆的导体》中,对标称截面积没有给出公差,并定义为:“确定导体特定尺寸的数值,但并不受直接测量影响。(注:本标准中导体的每个特定尺寸应符合最大电阻值的要求)”。可见,导体的标称截面积在产品标准中是用来表述电线电缆产品的规格,仅仅是此规格的代号或名称,便于产品制造过程中的文件及生产管理。对于用户和设计人员,标准为了便于选择和指导生产及电气设计,并不要求直接测量其实际截面,而是通过导体电阻值来进行衡量和考核。

电线电缆导体的设计截面积

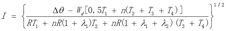
GB50411-2007《建筑节能工程施工质量验收规范》第12.2.2条的内容如下:“低压配电系统选择的电缆、电线截面不得低于设计值,进场时应对其截面和每芯导体电阻值进行见证取样送检”,这里讲的设计值指的就是设计截面积。在设计电线电缆采用多大规格时通常是依据电线电缆的载流量,一般采用如下公式计算:式中,
I是导体流过的电流,即允许载流量(A);R是导体在其最高工作温度下的交流电阻(Ω);Δθ是高于环境温度的导体温升(K);Wd是一根导体绝缘单位长度的介质损耗(W/m);T1是一根导体和金属套之间单位长度热阻(K.m/W);T2是金属套和铠装之间衬垫层单位长度热阻(K.m/W);T3是电缆外护层单位长度热阻(K.m/W);T4是电缆表面和周围介质之间单位长度热阻(K.m/W);n是电缆中载有负荷的导体数(导体截面相等,负载相同);λ1是电缆金属套损耗相对于该电缆所有导体总损耗的比率;λ2是电缆铠装损耗相对于该电缆所有导体总损耗的比率。由上述公式可见,与电线电缆载流量I直接相关的变量是导体电阻R,并非导体的实际截面。同样,在整机及电器附件产品标准的有关表格中,与额定电流值相对应的也通常是配线的标称截面。所以说某一标称截面下的导体电阻大小对应的截面也可称电气截面,即设计截面(设计值)。当考核电线电缆的设计截面或标称截面时,均是考核它的电阻值,而不是测量它的实际截面值。

电线电缆导体的实际截面积

电线电缆导体的实际截面积指的是导体的几何截面积。对于电线电缆生产制造者来讲,某标称截面的导体截面究竟设计多大才能满足标准要求,不是指实际截面要大于等于标称截面,而是指此标称截面下的设计截面(电气截面)要满足标准要求,即直流电阻是否满足标准要求,将此作为设计导体实际截面大小的依据。如果选择的导电性能较高的导体材料,那么实际截面可以小一些,反之导体实际截面应大一些。当今随着导体材料生产工艺的改进和科学技术进步,无氧铜材的先进生产工艺已经得到普遍应用,铜导体材料电阻率足以保证用小于标称直径铜丝能满足对应规格直流电阻的要求,所以目前电缆行业中较普遍出现直流电阻合格,但线芯实际直径小于标称直径或实际截面小于标称截面的现象,这是符合产品标准要求的,也是符合节能节材的科学发展观。

电线电缆产品是基础配套性产品,用于各行各业,大的行业又按照行业要求制定了行业标准或国家标准,在这些标准中对电线电缆产品又给了一些规定,特别是对导体的要求,从标准化法角度看,这是正确的,但对于同一个产品在不同的标准中相同考核项目出现矛盾或不合理不科学时,应得到充分重视,特别是全国上下都在重视产品质量的大环境下,更应该注重产品的考核要求是否合理科学。例如:对于GB 50303-2002《建筑电气工程施工质量验收规范》标准第3.2.10条中第 3款的要求是“按制造标准,现场抽样检测绝缘层厚度和圆形线芯的直径;线芯直径误差不大于标称直径的l%;常用的BV型绝缘电线的绝缘层厚度不小于表12(略)的规定”。对于此条款,“线芯直径误差不大于标称直径的l%”此句表述要求与相关电线电缆产品标准中的要求相矛盾,无论在GB/T5023-2008还是GB/T 3956-2008标准中对于第1种或第2种导体都不考核成品线缆导体中的单丝直径,仅仅考核直流电阻和单丝根数。对于电线电缆的导体考核要求,还是要按GB/T3956的基础标准要求执行。


电线电缆产品标准中对导体截面积的要求




目前电线电缆各大主流标准体系的产品标准均采取标称截面积或规格代号来对应区分不同截面的导体。例如IEC标准(IEC60227、IEC60245、IEC60502等)、欧洲标准(EN50525等)和国家标准(GB/T5013、GB/T5023、GB/T12706等)采用标称截面积(单位:平方毫米)作为不同截面导体规格的代号,美国标准(UL758、UL62 等)则采用AWG规格作为代号。其中,对于不同截面规格代号的考核均是通过导体电阻值来要求,而非实际测量导体截面积(注:UL 标准允许测量实际截面积,但采用导体电阻作为仲裁方法)。在国家标准GB/T 5023-2008、GB/T 5013-2008和GB/T 12706-2008中,主要规定电缆导体符合GB/T3956的要求,主要考核有:软导体的单线最大直径和硬导体中单线最少根数符合GB/T3956的要求;导体在20℃时的电阻应符合GB/T3956的要求。在GB/T3956中,导体共分四种:第1种(实心导体)、第2种(绞合导体)、第5种(软导体)和第6种(比第5种更柔软的导体)。其中,第1种和第2种导体用于固定敷设的电缆中(例如布电线、电力电缆等)。第5种和第6种导体用于软电缆和软线中(例如电源线、橡套电缆等),也可用于固定敷设。在以上四种导体中,不同标称截面积导体规格考核的20℃时最大导体电阻值如表1所示。可见,各个标称截面积导体规格与其最大导体电阻值存在一一对应的关系。其中,对于同一标称截面积导体,由于各个导体种类、材料和结构的不同以及镀金属层的影响,其考核的最大导体电阻值亦略有差异。因此,对于电线电缆产品标准,只要导体能达到所声称的标称截面积对应的最大电阻值要求,导体单线直径或根数满足标准要求即可判定合格。在近期给线缆质量安全敲响警钟的奥凯问题电缆事件中,抽样单位和承检单位也正是对问题电缆的20℃导体直流电阻项目进行了检测,并对照导体标称截面积对应的电阻值进行判定,给出了不合格的结论,反映了电缆导体的截面亏方问题。


整机及电器附件中对电缆导体截面积的要求




目前,在主要的整机及电器附件产品标准中,如表2所示,引用的均为标称截面积,应按照电线电缆产品标准中有关考核标称截面积的方法即导体电阻来衡量。

值得一提的是,在2008年中国合格评定国家认可委员会(CNAS)组织的“电动工具产品安全检查(CNAS T0409)”能力验证工作中,其中有个项目就是:手电钻产品电源线截面积的测量。当时有11个检验机构采用数学几何法测量电源线截面积,结果判定错误,导致能力验证结果不满意,而正确的测试方法应是通过导体电阻测试的方法。



结束语




电线电缆作为上游配套产品广泛应用于国民经济的众多产业和领域,也因此接受着来自各方的产品规范要求和质量管控。在线缆制造、流通、交货验收以及安装使用的各个环节中,大力推行和正确使用线缆产品标准,显得尤为重要。特别是对线缆质量安全性能直接相关的标称截面积,生产企业、用户方和检测机构等有关方对相关标准的正确理解与运用,将有助于进一步规范线缆产品质量,促进产业上下游健康发展。

公司地址:山东省无棣县信阳乡政府驻地

网址:http://www.hfdl.cn

手机:0543-2253977

版权所有:山东无棣海丰电缆有限公司

【鲁ICP备09021819号】[鲁公网安备 37162302000036号] ]
技术支持:远洋科技


0543-2253688 0543-2253977

免费销售热线

官方手机站

官方微信公众号